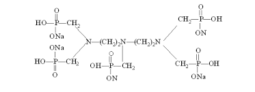
Diethylenetriamine pentamethylene phosphonic acid

dtpmp

Diethylenetriamine pentamethylene phosphonic acid

Diethylenetriamine Pentamethylene Phosphonic Acid (DTPMP) is a widely used organic phosphonic acid compound in water treatment applications. It is a highly effective sequestrant, chelating agent, and scale inhibitor. DTPMP is known for its exceptional ability to control scale formation and prevent the deposition of various metal ions in water systems.

DTPMP exhibits excellent stability over a wide range of pH levels and temperatures, making it suitable for diverse water treatment applications. It effectively sequesters metal ions such as calcium, magnesium, and iron, preventing their precipitation and subsequent formation of scales. This helps maintain the efficiency and performance of industrial water systems, boilers, cooling towers, and RO membranes.

Property Specification
CAS Number 15827-60-8
Chemical Formula C9H28N3O15P5
Appearance Colorless to pale yellow liquid
Active Ingredient Content ≥ 45%
pH (1% aqueous solution) 2.0-3.0
Density (at 20°C) 1.35-1.45 g/cm3
Solubility in Water Completely Soluble
Chloride Content (as Cl) ≤ 5.0%
Iron Content (as Fe) ≤ 20 ppm
Phosphorous Acid Content (as H3PO3) ≤ 2.0%
Phosphoric Acid Content (as H3PO4) ≤ 0.8%