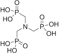
Amino trimethylene phosphonic acid

Amino trimethylene phosphonic acid

Amino trimethylene phosphonic acid

Amino Trimethylene Phosphonic Acid (ATMP) is a widely used organic phosphonic acid compound in water treatment applications. It is a highly effective scale and corrosion inhibitor, known for its excellent chelating properties. ATMP is extensively used in industrial water systems, boilers, cooling towers, and reverse osmosis (RO) membranes.

ATMP works by forming stable complexes with metal ions, such as calcium, magnesium, and iron, thereby preventing their precipitation and deposition as scales. It also inhibits the corrosion of metal surfaces by forming a protective film. These properties make ATMP an essential component in water treatment formulations to control scaling and corrosion issues, ensuring the efficient and reliable operation of water systems.

Property Specification
CAS Number 6419-19-8
Chemical Formula N(CH2PO3H2)3
Appearance Clear Liquid
Active Ingredient Content ≥ 50%
pH (1% aqueous solution) 1.5-2.5
Density (at 20°C) 1.3-1.4 g/cm3
Solubility in Water Completely Soluble
Chloride Content (as Cl) ≤ 1.0%
Iron Content (as Fe) ≤ 20 ppm
Phosphorous Acid Content (as H3PO3) ≤ 2.0%
Phosphoric Acid Content (as H3PO4) ≤ 0.8%